CFTC Trésor 62 :            vous êtes ici    accueil  >  CAP et CTP locaux  >  CTPL du 31 janvier 2008  >  ORE 2008

 

 Peuplingues, le 24 janvier 2008, 13 h 30

 
C F T C
R

E
S
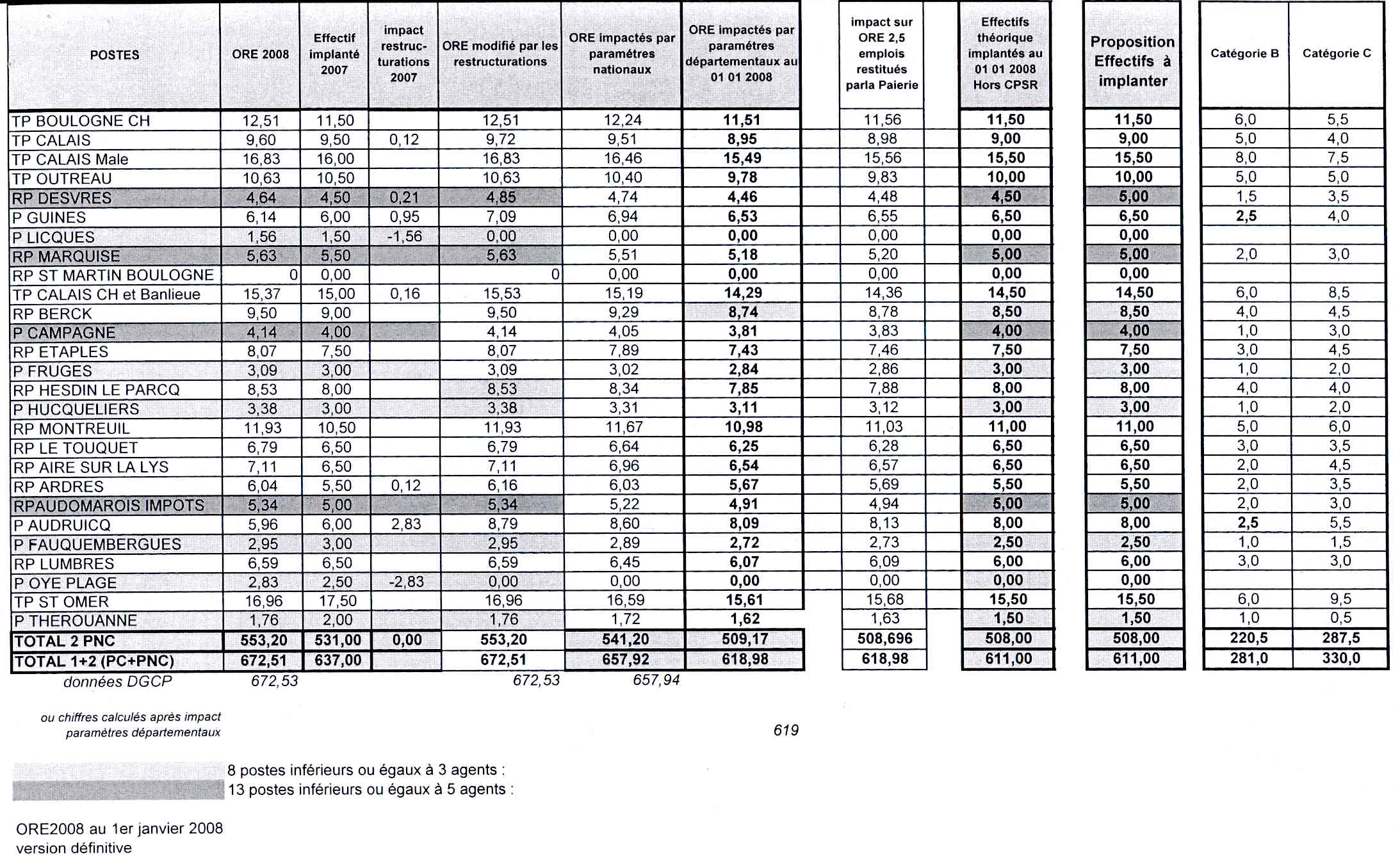
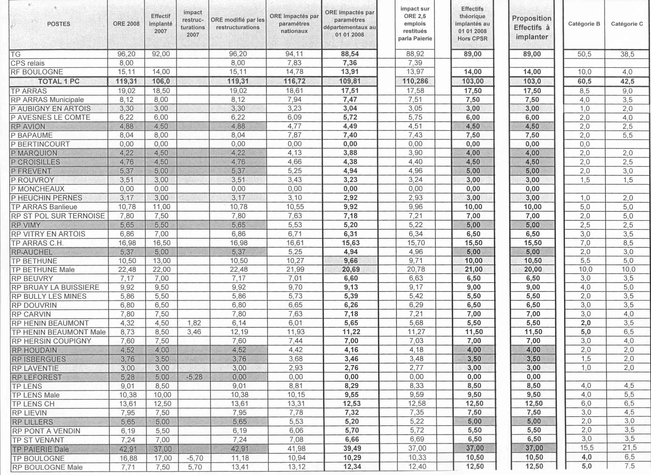
O 6 2 Les chiffres de l' O R E 2008
R

Pour revenir sur la page du C T P L du 31 janvier 2008

  C F T C Trésor  62 : Agir pour ne pas subir

retour  haut de page